Anuncios

¡Descubra cómo calcular el área del paralelogramo con los vértices adyacentes proporcionados!

¿Qué es un paralelogramo y por qué es importante calcular su área?

Un paralelogramo es un cuadrilátero con dos pares de lados paralelos. Es una figura geométrica comúnmente estudiada en matemáticas y tiene aplicaciones prácticas en la vida cotidiana, como la construcción de edificios y diseño de objetos. Calcular el área de un paralelogramo nos permite determinar la cantidad de espacio ocupado por esta figura, lo cual es esencial en diferentes contextos.

Anuncios

Paso a paso para calcular el área de un paralelogramo

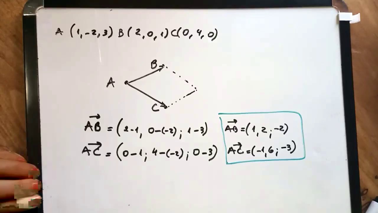
Paso 1: Obtener las coordenadas de los vértices adyacentes

Para calcular el área de un paralelogramo, es necesario tener las coordenadas de al menos dos de sus vértices adyacentes. Estas coordenadas nos ayudarán a determinar la longitud de sus lados y la base necesaria para el cálculo del área.

Paso 2: Calcular las longitudes de los lados

Una vez que tenemos las coordenadas de los vértices adyacentes, podemos calcular las longitudes de los lados del paralelogramo utilizando la fórmula de distancia entre dos puntos. Esta fórmula nos permite determinar la longitud de una línea recta entre dos puntos en el plano cartesiano utilizando teorema de Pitágoras.

Paso 3: Determinar la base del paralelogramo

La base del paralelogramo se encuentra en uno de los lados adyacentes a los vértices proporcionados. Utilizando las longitudes de los lados que obtuvimos en el paso anterior, podemos identificar fácilmente cuál de estos lados es la base del paralelogramo.

Paso 4: Calcular la altura del paralelogramo

La altura del paralelogramo es la distancia perpendicular desde la base hasta el otro lado del paralelogramo. Para encontrar la altura, podemos utilizar la fórmula de la distancia entre un punto y una línea. Esta fórmula nos permite calcular la distancia perpendicular entre un punto y una línea utilizando vectores y operaciones algebraicas.

Anuncios


Play on YouTube

Anuncios

Paso 5: Calcular el área del paralelogramo

Una vez que conocemos la base y la altura del paralelogramo, podemos calcular su área utilizando la fórmula del área de un paralelogramo. La fórmula es bastante sencilla: área = base x altura.

Calcular el área de un paralelogramo puede ser una tarea sencilla si seguimos los pasos adecuados. Con las coordenadas de los vértices adyacentes y el conocimiento de las fórmulas necesarias, podremos obtener el resultado deseado. Recuerda que comprender la importancia y aplicación de la geometría en la vida cotidiana nos permite desarrollar habilidades matemáticas y aplicarlas en diferentes situaciones.

¿Es posible calcular el área de un paralelogramo sin conocer las coordenadas de sus vértices?

No es posible calcular el área de un paralelogramo únicamente conociendo su forma o tamaño. Es necesario tener al menos dos vértices adyacentes para poder determinar las longitudes de los lados, la base y la altura del paralelogramo.

¿Qué otro método puedo utilizar para calcular el área de un paralelogramo?

Además del método descrito en este artículo, también es posible calcular el área de un paralelogramo utilizando el producto vectorial de dos vectores que representen los lados adyacentes. Este método es más avanzado y requiere un mayor conocimiento de algebra lineal y cálculo vectorial.

¿Existen aplicaciones prácticas para el cálculo del área de un paralelogramo?

Sí, el cálculo del área de un paralelogramo tiene aplicaciones prácticas en diferentes áreas, como la arquitectura, ingeniería y diseño. Por ejemplo, al diseñar un plano de una vivienda, es necesario calcular el área de diferentes elementos para distribuir correctamente los espacios.